来源:太阳集团tyc151 发布:2020-09-14 阅读量:
第三届全国中员工网络安全竞赛线上初赛已于9月13日9:00-18:00顺利举办,感谢各位参赛选手的积极参与。本次线上赛赛后分享直播已上传到太阳集团tyc151官方B站空间 https://space.bilibili.com/453117423 ,供大家交流学习。下面对本次竞赛答题情况进行通报。
本次比赛共放出题目21道。其中Misc方向4道、Crypto方向3道、Pwn方向3道、Reverse方向3道、PPC方向4道、Web方向3道以及赛后问卷题1道。
截至比赛结束,有效答题人数共87人。比赛过程中有三名参赛选手因代答题或寻求场外援助被组委会反作弊机制检出而作出禁赛处罚。希望大家以此为鉴,独立答题、诚信比赛!




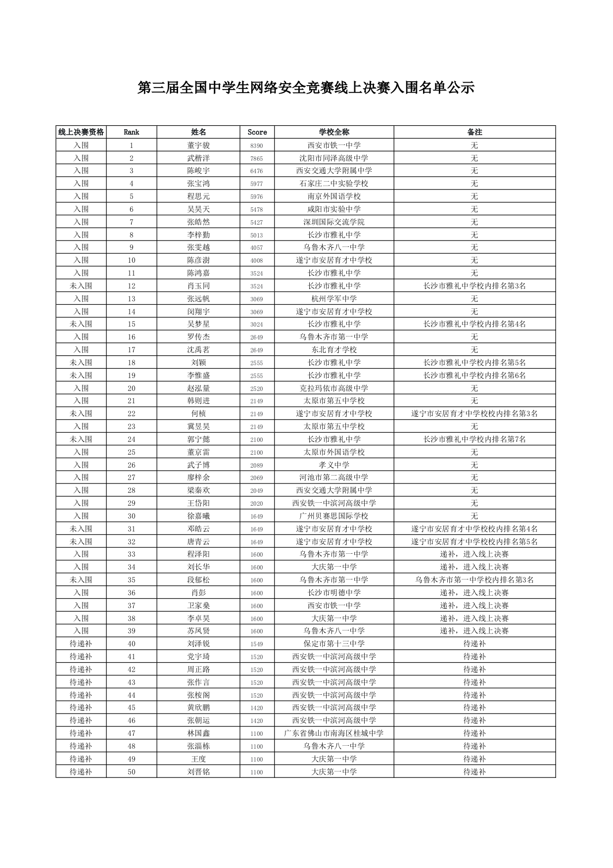
现公布第三届全国中员工网络安全竞赛线上初赛Top50选手入围情况,是否入围见“线上决赛资格”一栏。

稍后组委会将会通过电话的方式征询入围决赛的选手的参赛意向,请注意接听组委会电话。后续事宜会通过邮件的方式发送到选手报名时填写的邮箱,请注意查收来自msscstc@xidian.edu.cn的邮件。
未竟事宜,请咨询竞赛组委会。
赛事咨询:029-81891730
或扫描下方二维码,加入竞赛官方咨询群。

第三届全国中员工网络安全竞赛组委会
2020年9月14日